Post Your Answer
Post Your Answer
Post Your Answer
Post Your Answer
Post Your Answer
Match the division of polynomials given in Column-I with their corresponding quotients given in Column-II.
| Column-I | Column-II | |
|---|---|---|
| (p) | (64y4 + 8y3) ÷ 4y3 | (i) (x - 3) |
| (q) | (10x2 + 3x - 27) ÷ (2x - 3) | (ii) 2(8y + 1) |
| (r) | (x2 + 4x - 21) ÷ (x + 7) | (iii) (x - 4) |
| (s) | (2x2 - 11x + 12) ÷ (2x - 3) | (iv) (5x + 9) |
A(p) → (iv); (q) → (ii); (r) → (i); (s) → (iii)
B(p) → (ii); (q) → (i); (r) → (iii); (s) → (iv)
C(p) → (ii); (q) → (iv); (r) → (i); (s) → (iii)
D(p) → (i); (q) → (ii); (r) → (iv); (s) → (iii)
Post Your Answer
Fill in the blanks and select the CORRECT option.
(i) When two negative integers are added, we get a __(P)__ integer.
(ii) The number of integers between –16 and –2 is __(Q)__.
(iii) When two __(R)__ integers are added, we get a positive integer.
| (P) | (Q) | (R) | |
|---|---|---|---|
| A | Negative | 12 | negative |
| B | Positive | 10 | positive |
| C | Negative | 13 | positive |
| D | Positive | 14 | negative |
Post Your Answer
The given bar graph shows the amount of money saved by Rashi during the given six months of a particular year. Study the given graph carefully and answer the following
questions.
(p) How much more money did she save in January and May together than in April?
(q) What is the fraction of amount of money saved in February and June together to
the amount of money saved in March and April together?
| (p) | (q) | |
|---|---|---|
| A | ₹ 2000 | ![]() |
| B | ₹ 1000 | ![]() |
| C | ₹ 1000 | ![]() |
| D | ₹ 1250 | ![]() |
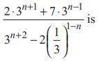
of its height.
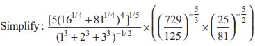
is
and HCF of (p, q) = 1, then p × q = ?



