Fill in the blanks and select the correct option.
(i) Product of a positive rational number with a __P__ rational number is always negative.
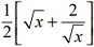
(ii) Multiplicative inverse of
is __Q__.
(iii) The unit digit of the square of the number 1989 is __R__.
(iv) If three acute angles of a quadrilateral measure 80° each, then the measure of the fourth angle is __S__.
| P | Q | R | S | |
|---|---|---|---|---|
| A | Positive | 3-14 | 3 | 140° |
| B | Negative | 314 | 3 | 150° |
| C | Positive | 3-14 | 9 | 110° |
| D | Negative | 3-14 | 1 | 120° |
I don't get it
?



