Arrange the following in ascending order : A B C D
The ratio of Mohit’s savings in account A to his savings in account B was 8 : 7. He spent of his total savings. He then transferred some money from one account to another so that both accounts had ₹ 765 each. How much money did he have at first? A₹ 2450 B₹ 2500 C₹ 2550 D₹ 1460
Match the column I and column II. A(i)→(a); (ii)→(c); (iii)→(d); (iv)→(b) B(i)→(c); (ii)→(a); (iii)→(d); (iv)→(b) C(i)→(d); (ii)→(c); (iii)→(b); (iv)→(a) D(i)→(b); (ii)→(d); (iii)→(a); (iv)→(c)
Find the sum of all the decimal numbers represented by the points P, Q and R on the given number line. A3.6 B5.3 C4.9 D2.4
The figure (not drawn to scale), shows a triangular plot of land, ABC. AC is a straight line. Find the area of the plot of land. A2750 m2 B1200 m2 C2000 m2 D1500 m2
Mohit went to a historical place which is 1023 km from his village. He cycled 29 km around the city to visit all the important places and took a train back to home. What is the total distance covered by him? A1052 km B2075 km C2104 km D1081 km
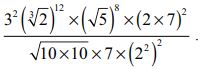
Find the number of prime factors of A4 B7 C3 D5
Which of the following conditions is not sufficient for constructing a rectangle? AThe length of two adjacent sides is given. BThe length of one side and one diagonal is given. CThe length of one side and the angles in which the diagonals divides the opposite angles is given. DThe length of both the diagonals are given.
Samay and Prashi had an equal amount of money. After Prashi bought a book that costs ₹ 79.90 and Samay bought a watch that costs ₹ 493.40, Prashi is left with 2 times as much money as Samay is left with. How much money did Prashi have at first? A₹ 506.75 B₹ 193.50 C₹ 906.90 D₹ 2050.15
In which of the following options, the shaded fraction represents the sum of and ? A B C DNone of these