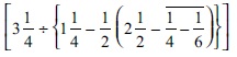
Post Your Answer
Fill in the blanks.
A __P__ is perfectly straight and extends forever in both directions. A __Q__ is a perfectly flat surface that extends forever in all directions. A __R__ or line segment, is the part of a line between two points.
| P | Q | R | |
| A | Line | Plane | Ray |
| B | Line | Plane | Segment |
| C | Line | Ray | Plane |
| D | Ray | Segment | Plane |
Post Your Answer
Post Your Answer
Post Your Answer
The following table shows the number of candies each child have.
| Children | Number of Candies |
| Sapna | 25 tens |
| Priya | 5 tens 2 ones |
| Anurag | 2 tens 5 ones |
| Shivam | 52 ones |
Which of the following statement is CORRECT?
A Sapna has least number of candies .
B Anurag has maximum number of candies.
C Shivam has 25 candies.
D Priya and Shivam has equal number of candies.
Didn't understand

BC, AM