Post Your Answer
Post Your Answer
Post Your Answer
Read the statements carefully and state
‘T’ for true and ‘F’ for false.
(i) The line segment joining the mid-points
of any two sides of a triangle is equal
to third side.
(ii) Sum of adjacent angles of a
parallelogram is 180°.
(iii) If each pair of opposite angles of a
quadrilateral are equal, then it is a
parallelogram.
| (i) | (ii) | (iii) | |
|---|---|---|---|
| A | T | F | T |
| B | F | F | T |
| C | F | T | T |
| D | T | T | F |
Post Your Answer
Post Your Answer
Post Your Answer
Read the statements carefully and state ‘T’ for true and ‘F’ for false.
P. A prime number has exactly two factors.
Q. 1 is the smallest odd prime number.
R. L.C.M. of 112 and 400 is 2810.
S. The greatest even prime number is 2.
| (P) | (Q) | (R) | (S) | |
|---|---|---|---|---|
| A | T | F | T | F |
| B | T | F | F | T |
| C | T | T | F | F |
| D | F | T | F | T |
Correct answer is C, but is shown as B. How is greatest even prime number 2 ?

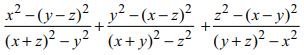
is _____.
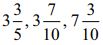
are men. Find the
number of passengers who are not men.
meanse
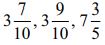
,
and
, then ________ is an electronic device.
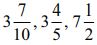
of the cost of 1 bowl.
Find the total cost of 2 bowls and 2 plates.