Post Your Answer
Post Your Answer
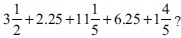
Ans 3:
Class : Class 2
there are 3 flowers in 2 flowers have sit 2 each bee and last sit 2 bee because of that the flower fall down
Ans 12:
Class : Class 9
its A pretty simply. 4 bees and 3 flowers is correct.Explanation: if 1 bee sits on each flower one bee will be left : correct because 3 of the bees sit on the available flowers (3) and one bee doesn't have a flower, meaning its "left".if two bees sit on each flower one flower will be left: correct because the bees (4) occupy only two flowers if they sit in groups of two so one flower will remain vacant
= 1 Whole and
represents 1/10, then what is the value of









= p + r